IHMC Public Cmaps (3)

        Users (create your own folder...)
            Cálculo Fiinanciero - Quinto Segunda - 2012
                Dai Juli Yami
                Recursos para introduccion corregido

                    adelantadas.jpg
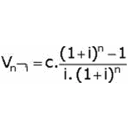
                    image.jpg
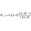
                    imposiciones adelantadas.jpg
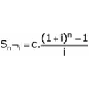
                    vencida.jpg