WARNING:
JavaScript is turned OFF. None of the links on this concept map will
work until it is reactivated.
If you need help turning JavaScript On, click here.
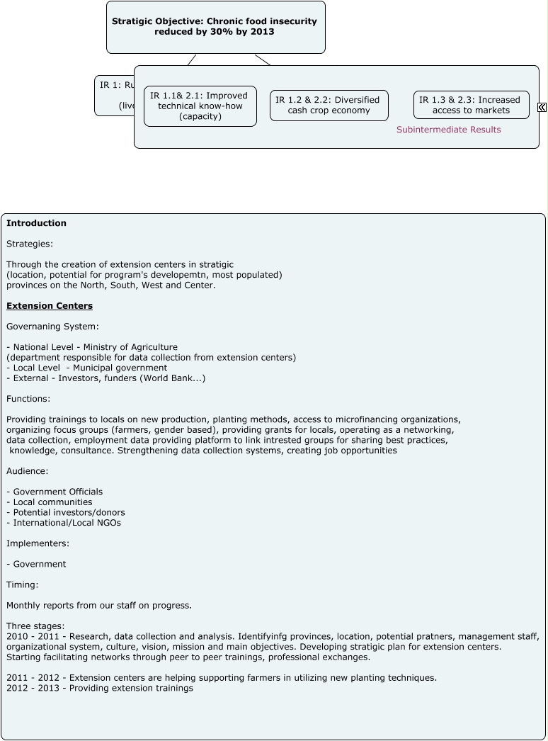
This Concept Map, created with IHMC CmapTools, has information related to: Strategy Afghan, IR 2: Agricultural production increased ????, IR 1: Rural purchasing power increased (livelihood improved) ????, Stratigic Objective: Chronic food insecurity reduced by 30% by 2013 IR 2: Agricultural production increased, Stratigic Objective: Chronic food insecurity reduced by 30% by 2013 IR 1: Rural purchasing power increased (livelihood improved)